Top

AP Barang 6th Edition English Literature and Composition

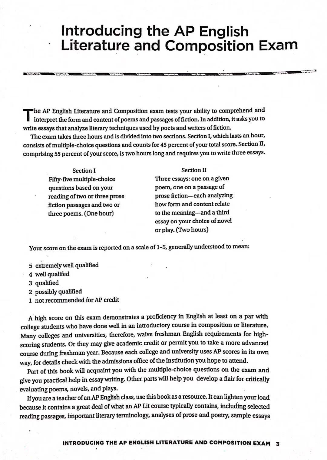
AP Barang 6th Edition English Literature and CompositionZoom

Additional

ISBN number9787800809200
titleAP Barang 6th Edition English Literature and Composition
authorBarang
Publisher nameAP

Details

Wholesale

Please contact our support team at service@chinahao.com

AP Barang 6th Edition English Literature and Composition

AP Barang 6th Edition English Literature and CompositionAP Barang 6th Edition English Literature and CompositionProvide AP Barang 6th Edition English Literature and Composition by lize2000 at chinahao.com. Product #: 63586553345915.71In stock